Estimation régionale de la secousse à partir des données instrumentales et macrosismiques (ShakeMap V4.1)

Document au format pdf
Cartes des autres variables pour l'estimation de la secousse
Accélération maximale du sol PGA : jpg - pdf
Vitesse maximale du sol PGV : jpg - pdf
Réponse spectrale PSA :
- à une période de 0,3 secondes : jpg - pdf
- à une période de 1,0 secondes : jpg - pdf
- à une période de 3,0 secondes : jpg - pdf
Tableau conversions Intensité, PGA, PGV et PSA

Observations disponibles (format ShakeMap USGS, usage scientifique)
Liste des observations : stationlist.json
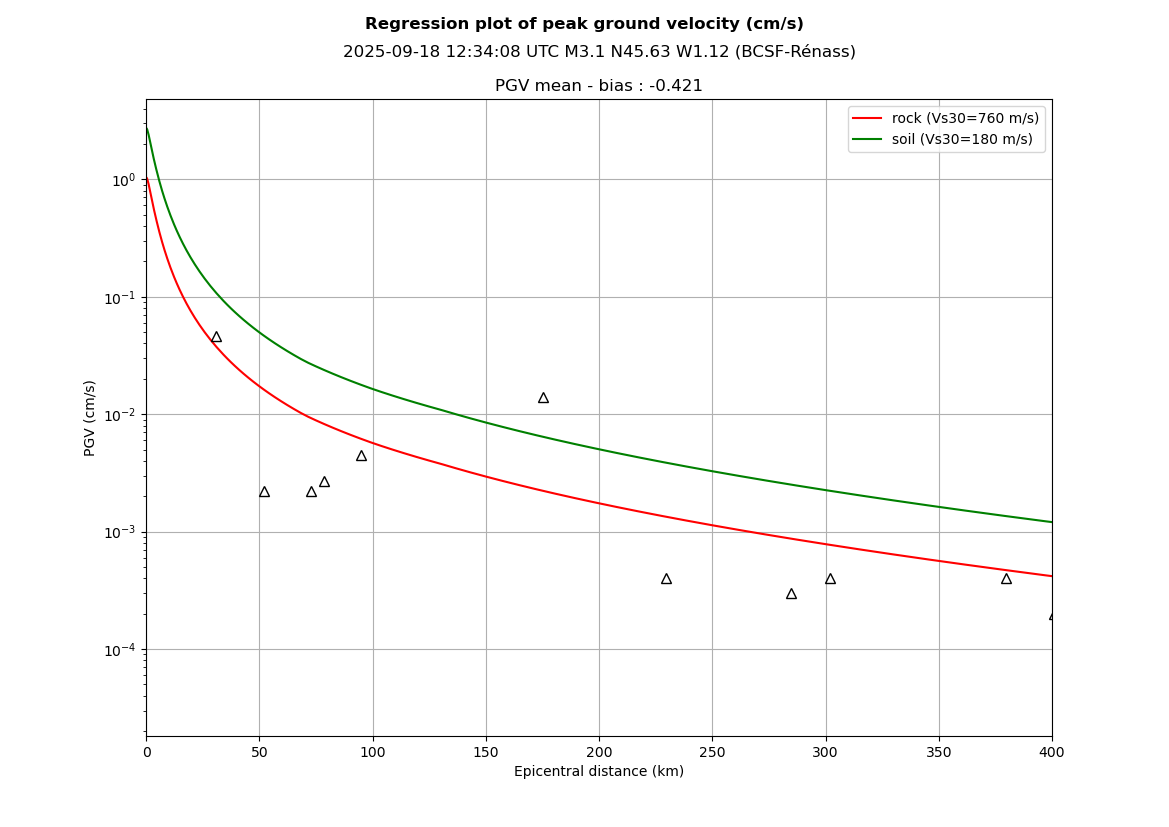
Courbes de régression
Intensité : png
Accélération maximale du sol PGA : png
Vitesse maximale du sol PGV : png
Réponse spectrale PSA :
- à une période de 0,3 secondes : png
- à une période de 1,0 secondes : png
- à une période de 3,0 secondes : png